Visualize the Question: Our Guide to GMAT Geometry
Geometry is such a small percentage of the general test, but it requires much more theory than any other subject. Therefore, we created this GMAT Geometry Guide that will allow us to improve our skills.
Many students, when preparing for the Quant section of the test, have their personal favorite and least favorite topics within the Quant section. Often, geometry falls into one of these two categories. The advantages of geometry is that unlike other abstract topics, we are able to visualize the question, draw pictures, and specifically see what the author is asking us to solve for. On the other hand, geometry includes so many shapes that it also requires us to remember many associated formulas.
To begin with basic training, we will go through each step of our Guide to GMAT Geometry that will help us tackle a typical GMAT geometry problem.
Question: If a square is inscribed in a circle that, in turn, is inscribed in a larger square, what is the ratio of the perimeter of the larger square to that of the smaller square?

Step 1: Always draw a picture if one is not given to you
As mentioned, the upside of geometry is that we can visualize the problem and what the author is asking us to solve for! Let’s take advantage of this rare opportunity and draw what they are describing.
“A square inscribed in a circle, in turn, inscribed in a larger square”
The author’s love the word “inscribed” a sophisticated way of saying a shape inside another shape, fit together as tightly as possible. With this description, we have something that looks like this:

Step 2: Write an actual equation for what the author is asking
“what is the ratio of the perimeter of the larger square to that of the smaller square”
So here in the question, we understand we need to find the perimeter of the small square and the perimeter of the large square. Perimeter is one of the formulas we must know, which involves adding up the lengths of all sides. Since we are dealing with squares, we also know that all sides are the same length, the Perimeter = 4 times the length of one side. (we will use s for the length of the side of the small square and S for the length of the side of the large square)
Perimeter of Large Square =
![]()
Perimeter of Small Square =
![]()
Secondly, the author uses the keyword “ratio.” We need to find the ratio between the two squares. They love this word! This is just another fancy way of saying that we will be dividing the two perimeters. So we will have the following equation:
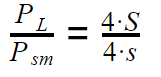
Ratio =

At this point, we could also take it a step further and even cancel out the two 4’s and be left with S/s, (it’s okay to leave the equation like this but it is important to notice small things like this on the GMAT test that will help you save time and solve problems within 2 minutes!)
Step 3: Break things down & find the relationships!
This is an important GMAT Merchant philosophy, breaking things down into their smaller components. Let’s look at the two square’s separately and their relationship to the circle. After all, there must be a reason why we have a circle involved!

First, let’s look at the larger square. What is its relationship to the circle? A good way to find this out, is to draw points where the circle and the square touch, and draw a line connecting the dots.

Now, we are able to visually see that the red line is the diameter of the circle but also parallel to the side of the whole square! Therefore we can determine that the diameter of the circle is equal to the length of the side of the large square.
Diameter =
![]()
Now, let’s do the same with the smaller square.

Likewise, here we know the red line is also the diameter of the circle but it cuts the square in half, forming two triangles. (Triangles are always hidden in these problems, so don’t forget about them just because we see squares and circles!) Now that we have cut our square in half, we can use Pythagorean’s theorem to find the sides of the smaller square. This theorem is one of the most important equations to remember for the geometry section.
Pythagorean theorem =

(c is always the diagonal / hypotenuse of the triangle)
Since the sides of the square are the same we will have:
![]()
Step 4: Plug in variables!
Let’s recap all the equations that we have created.

Now, as with so many other types of problems, we can plug in a variable for one of our equations, and see how it impacts our problem. In this case, I see that in both of the equations we made for the circle/square relationships, I have diameter involved. So, let’s create a hypothetical value for the diameter of the circle. Any number will work, nothing tricky here, but be easy on yourself, don’t pick a large number that will require a lot of calculations or extra work.
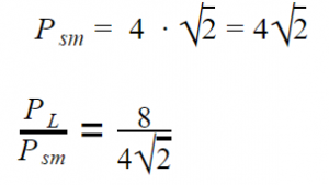
We will say that the diameter of the circle is 2 inches. Therefore, the sides of the larger square are also 2. Therefore we know that the perimeter of the larger square is 8 inches.
![]()
Now what about the smaller square…

Therefore:

Step 5: Reduce and find your final answer
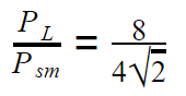
When plugging in our variables, we got to the following equation:

That we are able to simplify, since 8 is a multiple of 4. The equation becomes:

Now, we have done all this work and it is not an answer choice to pick from, not fair!!
There is a reason….
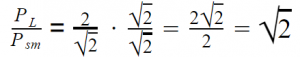
When I was in high school taking pre-calculus, I had a teacher who assigned too much math homework every single day of the week. Thankfully, I enjoyed math but it was overload for sure. Not only that, she told us that if we left a square root in the denominator, that she would count the whole problem wrong, no partial credit! I thought she was being particularly picky, but I followed the rules. I have since observed that the GMAT follows the exact same rules! I have come to the conclusion that there is a shared ideology across mathematicians that it is “illegal” in math to leave an answer with a square root in the denominator. Take note of this, if you have an answer choice (like answer choice B) you can immediately eliminate it!
So what should we do? We need to re-write our final answer in a different way that does not have the square root in the denominator. We need to multiply the whole fraction by some multiple of “1.” In this case, by the square root itself:

Now when we eliminate the 2’s in the numerator and denominator, we are left with the final answer of answer choice C.

This GMAT Geometry Guide was written by Quant Coach Jessica Hunek.
If you need more help with GMAT Geometry or anything else related to getting into business school we can help. For more information on our different GMAT products see:
- GMAT private classes – see the stories of Will, Teddy, Jessica and Nico and how they approached their GMAT journey with Merchant.
- Merchant Academy – a GMAT teaching innovation that makes taking the GMAT, like an MBA. Click to find out more about the Merchant Academy format.
- Merchant GMAT Hall of Fame – a gallery of some of our clients over the last eight years.
For admissions help see some of the client stories on our admissions page.